在卡诺循环过程中,理想气体在一个绝热过程中所作的功为W1,内能变化为△E1,而在另一绝热过程中气体做功W2,内能变化△E2,则W1、W2及△E1、△E2间...

作者: tihaiku 人气: - 评论: 0
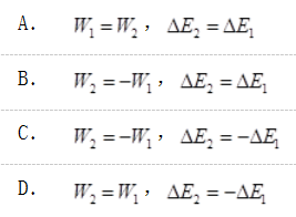
问题 在卡诺循环过程中,理想气体在一个绝热过程中所作的功为W1,内能变化为△E1,而在另一绝热过程中气体做功W2,内能变化△E2,则W1、W2及△E1、△E2间关系为(  )。
选项
答案 C
解析 卡诺循环分为两个等温过程和两个绝热过程。第一个绝热过程,温度降低,系统做正功,W1>0;内能降低,△E1<0。第二个绝热过程,温度升高,系统做负功,W2<0;内能升高△E2>0。所以,W2=-W1,△E2=-△E1。

相关内容:卡诺,循环,理想,气体,做功,内能,变化

猜你喜欢

发表评论
更多 网友评论0 条评论)
暂无评论

Copyright © 2012-2014 恰考网 Inc. 保留所有权利。 Powered by tikuer.com

页面耗时0.0354秒, 内存占用1.04 MB, Cache:redis,访问数据库17次