设电阻元件R、电感元件L、电容元件C上的电压电流取关联方向,则如下关系成立的是(  )。

作者: tihaiku 人气: - 评论: 0
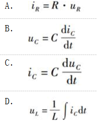
问题 设电阻元件R、电感元件L、电容元件C上的电压电流取关联方向,则如下关系成立的是(  )。
选项
答案 C
解析 电感公式 电容公式 本题取关联方向,取正。

相关内容:电阻,元件,电感,电容,电压,电流,关联,方向,如下,关系

猜你喜欢

发表评论
更多 网友评论0 条评论)
暂无评论

Copyright © 2012-2014 恰考网 Inc. 保留所有权利。 Powered by tikuer.com

页面耗时0.0351秒, 内存占用1.05 MB, Cache:redis,访问数据库18次