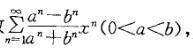
已知幂级数则所得级数的收敛半径R等于: A.b D.R 值与 a、b 无关

作者: tihaiku 人气: - 评论: 0
问题 已知幂级数则所得级数的收敛半径R等于: A.b D.R 值与 a、b 无关
选项
答案 D
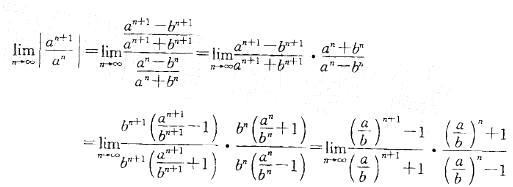
解析 解:本题考查幂级数收敛半径的求法。可通过连续两项系数比的极限得到ρ值,由R=1/ρ得到收敛半径。 R=1/ρ=1 选D。

相关内容:级数,所得,收敛,半径,值与

猜你喜欢

发表评论
更多 网友评论0 条评论)
暂无评论

Copyright © 2012-2014 恰考网 Inc. 保留所有权利。 Powered by tikuer.com

页面耗时0.0385秒, 内存占用1.04 MB, Cache:redis,访问数据库19次