作者: tihaiku 人气: - 评论: 0
问题
选项
答案 A
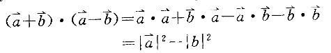
解析 提示:利用向量数量积的运算性质及两向量数量积的定义计算:

相关内容:

猜你喜欢

发表评论
更多 网友评论0 条评论)
暂无评论

Copyright © 2012-2014 恰考网 Inc. 保留所有权利。 Powered by tikuer.com

页面耗时0.0389秒, 内存占用1 MB, Cache:redis,访问数据库17次