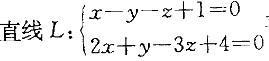
过点M(3,-2,1)且与平行的直线方程是:

作者: tihaiku 人气: - 评论: 0
问题 过点M(3,-2,1)且与平行的直线方程是:
选项
答案 D
解析 提示:利用两向量的向量积求出直线L的方向向量。
发表评论
更多 网友评论0 条评论)
暂无评论

Copyright © 2012-2014 恰考网 Inc. 保留所有权利。 Powered by tikuer.com

页面耗时0.0669秒, 内存占用1.04 MB, Cache:redis,访问数据库18次