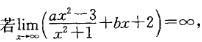
则a与b的值是: A. b≠0,a为任意实数 B. a≠0,b=0 C. a=1,b=0 D. a=0,b=0

作者: tihaiku 人气: - 评论: 0
问题 则a与b的值是: A. b≠0,a为任意实数 B. a≠0,b=0 C. a=1,b=0 D. a=0,b=0
选项
答案 A
解析 提示:将式子通分,利用多项式商求极限的方法计算。 只要b≠0,a可为任意数。

猜你喜欢

发表评论
更多 网友评论0 条评论)
暂无评论

Copyright © 2012-2014 恰考网 Inc. 保留所有权利。 Powered by tikuer.com

页面耗时0.0489秒, 内存占用1.01 MB, Cache:redis,访问数据库19次