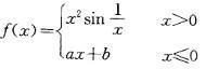
设在x=0处可导,则a、b的值为: A. a=1,b=0 B.a=0,b为任意常数 C. a =0,b=0 D.a=1,b 为任意常数

作者: tihaiku 人气: - 评论: 0
问题在x=0处可导,则a、b的值为: A. a=1,b=0 B.a=0,b为任意常数 C. a =0,b=0 D.a=1,b 为任意常数
选项
答案 C
解析 提示:函数在一点可导必连续。利用在一点连续、可导定义,计算如下: 故b=0 又因f(x)在x=0处可导,即f'+(0)=f'-(0),则; 故a=0

猜你喜欢

发表评论
更多 网友评论0 条评论)
暂无评论

Copyright © 2012-2014 恰考网 Inc. 保留所有权利。 Powered by tikuer.com

页面耗时0.0438秒, 内存占用1.04 MB, Cache:redis,访问数据库18次