下列结论中正确的是:

作者: tihaiku 人气: - 评论: 0
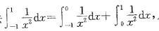
问题 下列结论中正确的是:
选项
答案 C
解析 提示:逐项排除。 选项A,x=0为被积函数无穷不连续点,计算方法只要判断其中一个发散即发散,可判定选项A发散,选项A错误。 选项B,显然错误。

猜你喜欢

发表评论
更多 网友评论0 条评论)
暂无评论

Copyright © 2012-2014 恰考网 Inc. 保留所有权利。 Powered by tikuer.com

页面耗时0.0493秒, 内存占用1.03 MB, Cache:redis,访问数据库19次