某一饱和黏土地基,黏土层厚10m,渗透系数k为1.6cm/年,受大面积荷载p0为100kPa。 (1)如果该黏土层初始孔隙比e=0.9,压缩系数α=0....

作者: tihaiku 人气: - 评论: 0
问题 某一饱和黏土地基,黏土层厚10m,渗透系数k为1.6cm/年,受大面积荷载p0为100kPa。 (1)如果该黏土层初始孔隙比e=0.9,压缩系数α=0.25MPa-1,则该黏土层在p0作用下,最终(固结)沉降量最接近( )mm。 A. 132 B. 156 C. 206 D. 298
选项
答案 A
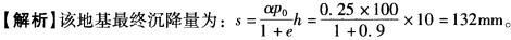
解析

相关内容:饱和,黏土,地基,土层,系数,大面积,荷载,100kPa,该黏,初始,孔隙

猜你喜欢

发表评论
更多 网友评论0 条评论)
暂无评论

访问排行

Copyright © 2012-2014 恰考网 Inc. 保留所有权利。 Powered by tikuer.com

页面耗时0.0436秒, 内存占用1.05 MB, Cache:redis,访问数据库20次