某场地为均质黏性土场地,场地中拟建一建筑物,基础底面埋深为2.0m,附加应力分布可简化成如图3-28形式,如果假设施工过程中沉降可完成40%,建筑物建成后...

作者: tihaiku 人气: - 评论: 0
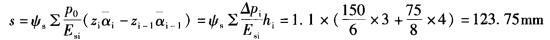
问题 某场地为均质黏性土场地,场地中拟建一建筑物,基础底面埋深为2.0m,附加应力分布可简化成如图3-28形式,如果假设施工过程中沉降可完成40%,建筑物建成后还能沉降( )mm。(注:土体为正常固结,沉降计算经验系数为1.1) A. 74 B. 94 C. 114 D. 124
选项
答案 A
解析 根据《建筑地基基础设计规范》(GB 50007—2002)第5. 3. 5节,其最终变形量应为: 则可得剩余变形量为: s余=0. 6s =0. 6×123. 75 =74. 25mm

相关内容:场地,黏性,地中,建筑物,基础,底面,附加,应力,可简,如图,形式,假设,施工,沉降

猜你喜欢

发表评论
更多 网友评论0 条评论)
暂无评论

访问排行

Copyright © 2012-2014 恰考网 Inc. 保留所有权利。 Powered by tikuer.com

页面耗时0.0421秒, 内存占用1.05 MB, Cache:redis,访问数据库19次