现需设计一个无黏性土的简单边坡。已知边坡高度为10m,土的内摩擦角φ=45°,黏聚力c=0,当边坡坡角α最接近于( )时,其安全系数Fs = 1.3。 ...

作者: tihaiku 人气: - 评论: 0
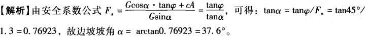
问题 现需设计一个无黏性土的简单边坡。已知边坡高度为10m,土的内摩擦角φ=45°,黏聚力c=0,当边坡坡角α最接近于( )时,其安全系数Fs = 1.3。 A. 45° B. 41.4° C. 37.6° D. 22.8°
选项
答案 C
解析

相关内容:现需,设计,黏性,边坡,高度,黏聚,当边,坡坡,最接

猜你喜欢

发表评论
更多 网友评论0 条评论)
暂无评论

访问排行

Copyright © 2012-2014 恰考网 Inc. 保留所有权利。 Powered by tikuer.com

页面耗时0.0382秒, 内存占用1.05 MB, Cache:redis,访问数据库19次