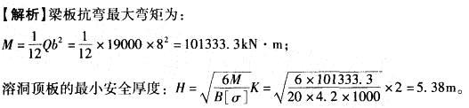
如图6-20所示,某山区公路路基宽度20m,下伏一溶洞,溶洞跨度b=8m,顶板为近似水平厚层状裂隙不发育坚硬完整的岩层,现设顶板岩体的抗弯强度为4.2MP...

作者: tihaiku 人气: - 评论: 0
问题 如图6-20所示,某山区公路路基宽度20m,下伏一溶洞,溶洞跨度b=8m,顶板为近似水平厚层状裂隙不发育坚硬完整的岩层,现设顶板岩体的抗弯强度为4.2MPa,顶板总荷重为 Q= 19000kN/m,试问在安全系数为2.0时,按梁板受力抗弯情况(设最大弯矩为)估算的溶洞顶板的最小安全厚度最接近( )m。 A. 5.4 B. 4.5 C. 3. 3 D. 2.7
选项
答案 A
解析

相关内容:如图,6-20所示,山区,公路,路基,宽度,下伏,溶洞,跨度,顶板,水平,层状,裂隙,发育,岩层,现设,岩体,抗弯,强度,4.2MP...

发表评论
更多 网友评论0 条评论)
暂无评论

访问排行

Copyright © 2012-2014 恰考网 Inc. 保留所有权利。 Powered by tikuer.com

页面耗时0.0425秒, 内存占用1.05 MB, Cache:redis,访问数据库20次