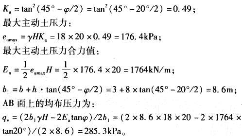
浅埋洞室半跨b=3.0m,高h=8m。如图7-14所示。上覆松散体厚度H=20m,容重y= 18kN/m3。黏聚力c=0,内摩擦角φ=20°。用太沙基理论...

作者: tihaiku 人气: - 评论: 0
问题 浅埋洞室半跨b=3.0m,高h=8m。如图7-14所示。上覆松散体厚度H=20m,容重y= 18kN/m3。黏聚力c=0,内摩擦角φ=20°。用太沙基理论求AB面上的均布压力最接近于( )kN/m2。 A. 421 B. 382 C. 315 D. 285
选项
答案 D
解析 根据题意计算如下: 主动土压力系数:

相关内容:浅埋,洞室,半跨,如图,7-14所示,覆松,散体,厚度,容重,黏聚,用太,沙基,理论

猜你喜欢

发表评论
更多 网友评论0 条评论)
暂无评论

访问排行

Copyright © 2012-2014 恰考网 Inc. 保留所有权利。 Powered by tikuer.com

页面耗时0.0689秒, 内存占用1.05 MB, Cache:redis,访问数据库20次