某场地由灰岩组成,岩石完整,无裂缝,允许抗压强度为3.5MPa,自0~6.0m为残积土,容重为18kN/m3,6.0m以下为灰岩,容重为21kN/m3,在...

作者: tihaiku 人气: - 评论: 0
问题 某场地由灰岩组成,岩石完整,无裂缝,允许抗压强度为3.5MPa,自0~6.0m为残积土,容重为18kN/m3,6.0m以下为灰岩,容重为21kN/m3,在23m以下存在小的溶洞,溶洞在水平面上成层状分布,现拟在场地中进行堆截,平均荷载强度为200kPa,在保证场地安全的前提下(安全系数取2.0),需对跨度超过( )m的溶洞采取处理措施。 A. 5 B. 10 C. 14 D. 30
选项
答案 C
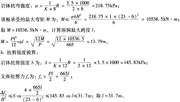
解析 溶洞顶板按梁板受力情况取单位长度进行计算。 ①计算单位长度,宽度顶板所受总荷重P为: P=P1+P2+P3=bHy1+bdy2+bq=1×(23-6)×21 +1×6×18+200=665kPa。 ②按两端固定梁计算。 a.抗弯验算: ③对抗弯验算和抗剪验算取小值,即l=14m。

相关内容:场地,岩石,裂缝,强度,3.5MPa,容重

猜你喜欢

发表评论
更多 网友评论0 条评论)
暂无评论

访问排行

Copyright © 2012-2014 恰考网 Inc. 保留所有权利。 Powered by tikuer.com

页面耗时0.0362秒, 内存占用1.05 MB, Cache:redis,访问数据库19次