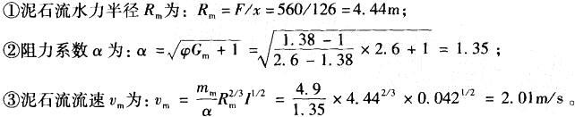
西南地区某地,一沟谷中有稀性泥石流分布,通过调查,该泥石流中固体物质比重为2.6,泥石流流体重度为1.38kN/m3,湿周长126m,洪水时沟谷过水断面积...

作者: tihaiku 人气: - 评论: 0
问题 西南地区某地,一沟谷中有稀性泥石流分布,通过调查,该泥石流中固体物质比重为2.6,泥石流流体重度为1.38kN/m3,湿周长126m,洪水时沟谷过水断面积为560m2,泥石流水面纵坡坡度为4.2%,粗糙系数为4.9,该泥石流的流速为( )m/s。 A. 2.01 B. 2. 05 C. 2. 10 D. 2. 12
选项
答案 A
解析 稀性泥石流流速的计算步骤如下:

相关内容:西南地区,沟谷,稀性,泥石流,调查,固体,物质,比重,流体,1.38kN,周长,洪水,过水,面积

猜你喜欢

发表评论
更多 网友评论0 条评论)
暂无评论

访问排行

Copyright © 2012-2014 恰考网 Inc. 保留所有权利。 Powered by tikuer.com

页面耗时0.0404秒, 内存占用1.04 MB, Cache:redis,访问数据库19次