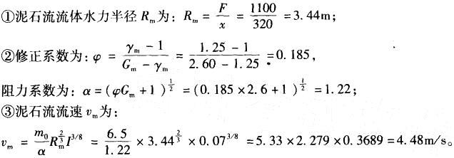
西北地区某沟谷中洪水期过水断面面积为1100m2,湿周长为320m,泥石流粗糙系数为6.5,水面坡度为7.0%,固体物质平均比重为2.60,泥石流流体平均...

作者: tihaiku 人气: - 评论: 0
问题 西北地区某沟谷中洪水期过水断面面积为1100m2,湿周长为320m,泥石流粗糙系数为6.5,水面坡度为7.0%,固体物质平均比重为2.60,泥石流流体平均重度为12.5kN/m3,该泥石流流速为( )m/s。 A. 2.0 B. 3.2 C. 4.5 D. 5.6
选项
答案 C
解析 按西北地区现行公式计算泥石流流速如下:

相关内容:西北地区,沟谷,洪水,期过,断面,面积,1100m2,湿周,泥石流,系数,水面,坡度,固体,物质,比重,流体

猜你喜欢

发表评论
更多 网友评论0 条评论)
暂无评论

访问排行

Copyright © 2012-2014 恰考网 Inc. 保留所有权利。 Powered by tikuer.com

页面耗时0.0392秒, 内存占用1.05 MB, Cache:redis,访问数据库20次