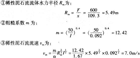
北京地区某沟谷中稀性泥石流阻力系数为1.67,洪水时沟谷过水断面面积为600m2,湿周长为109.3m,泥石流水面纵坡为9.2%,该泥石流流速为( )m/...

作者: tihaiku 人气: - 评论: 0
问题 北京地区某沟谷中稀性泥石流阻力系数为1.67,洪水时沟谷过水断面面积为600m2,湿周长为109.3m,泥石流水面纵坡为9.2%,该泥石流流速为( )m/s。 A. 3.0 B. 5.0 C. 7.0 D. 9.0
选项
答案 C
解析 按北京地区公式计算泥石流流速如下:

相关内容:北京地区,沟谷,中稀,泥石流,阻力,系数,洪水,过水,断面,面积,湿周,109.3m,水面,纵坡,流速

猜你喜欢

发表评论
更多 网友评论0 条评论)
暂无评论

访问排行

Copyright © 2012-2014 恰考网 Inc. 保留所有权利。 Powered by tikuer.com

页面耗时0.0459秒, 内存占用1.05 MB, Cache:redis,访问数据库20次