某水泥搅拌桩复合地基桩长12m,面积置换率m=0.21,复合土层顶面的附加压力Pz=114kPa,底面附加压力Pzl=40kPa,桩间土的压缩模量Es=2...

作者: tihaiku 人气: - 评论: 0
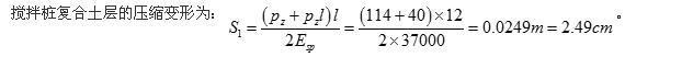
问题 某水泥搅拌桩复合地基桩长12m,面积置换率m=0.21,复合土层顶面的附加压力Pz=114kPa,底面附加压力Pzl=40kPa,桩间土的压缩模量Es=2.25MPa,搅拌桩的压缩模量Ep=168MPa,桩端下土层压缩量为12.2cm,根据《建筑地基处理技术规范》(JGJ 79—2012)计算,该复合地基总沉降量最接近(  )cm。
选项 A.13.5 B.14.5 C.15.5 D.16.5
答案 B
解析 根据《建筑地基处理技术规范》(JGJ 79—2012)第7.3.2条第9款计算如下: 搅拌桩复合土层的压缩模量为: Esp=mEp+(1-m)Es=0.21×168×103+(1-0.21)×2.25×103=37057.5kPa; 则总沉降量为:S=S1+S2=2.49+12.2=14.69cm。

相关内容:水泥,地基,桩长,面积,置换率,土层,附加,压力,114kPa,底面,桩间,模量

猜你喜欢

发表评论
更多 网友评论0 条评论)
暂无评论

访问排行

Copyright © 2012-2014 恰考网 Inc. 保留所有权利。 Powered by tikuer.com

页面耗时0.0313秒, 内存占用1.05 MB, Cache:redis,访问数据库20次