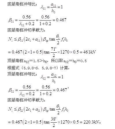
如图所示,承台h0=500mm,ft=1.27MPa,其它条件如图5所示。桩400mm×400mm;柱400mm×600mm。则承台底部角桩和顶部角桩的抗...

作者: tihaiku 人气: - 评论: 0
问题 如图所示,承台h0=500mm,ft=1.27MPa,其它条件如图5所示。桩400mm×400mm;柱400mm×600mm。则承台底部角桩和顶部角桩的抗冲切力分别为(  )kN。
选项 A.461;219 B.461;240 C.435;219 D.435;240
答案 A
解析 底部角桩抗冲切力 c1=0.8+0.2=1.0 a11=1-0.2-0.2=0.6>h0 所以取a11=h0=0.5 根据《建筑桩基技术规范》(JGJ 94—2008)式(5.9.8-4、5.9.8-5)计算

相关内容:如图,1.27MPa,条件,5所示,角桩

猜你喜欢

发表评论
更多 网友评论0 条评论)
暂无评论

访问排行

Copyright © 2012-2014 恰考网 Inc. 保留所有权利。 Powered by tikuer.com

页面耗时0.0391秒, 内存占用1.04 MB, Cache:redis,访问数据库19次