某市的一个供水井群供水时形成的平均水位下降值为15m,在这个范围内,黏性土及粉细砂的厚度约为10m,卵石土的厚度为5m。在经过三年的供水后,降落漏斗中的地...

作者: tihaiku 人气: - 评论: 0
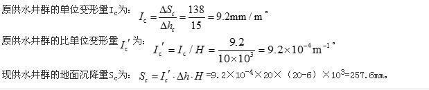
问题 某市的一个供水井群供水时形成的平均水位下降值为15m,在这个范围内,黏性土及粉细砂的厚度约为10m,卵石土的厚度为5m。在经过三年的供水后,降落漏斗中的地面平均下降138mm。在同一地貌单元的临近地段上,新完成了一个供水井群,该井群的降落漏斗中的水位平均降幅为20m,其中卵石土的厚度为6m,其余为黏性土及粉细砂,试预测在该井的影响下,地面的沉降量是(  )mm。
选项 A.257 B.308 C.368 D.426
答案 A
解析

相关内容:水井,供水,水位,黏性,细砂,厚度,卵石,漏斗

猜你喜欢

发表评论
更多 网友评论0 条评论)
暂无评论

访问排行

Copyright © 2012-2014 恰考网 Inc. 保留所有权利。 Powered by tikuer.com

页面耗时0.0410秒, 内存占用1.05 MB, Cache:redis,访问数据库19次