一非浸水重力式挡土墙,墙体重力W=180kN,墙后主动土压力水平分力、垂直分力分别为75kN,12kN,墙基底宽B=1.45m,基底合力偏心距e=0.2m...

作者: tihaiku 人气: - 评论: 0
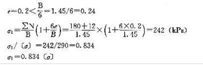
问题 一非浸水重力式挡土墙,墙体重力W=180kN,墙后主动土压力水平分力、垂直分力分别为75kN,12kN,墙基底宽B=1.45m,基底合力偏心距e=0.2m,地基容许承载力[σ]=290kPa,则挡土墙趾部压应力σ与地基容许承载[σ]的数值关系近似为(  )。
选项 A.σ=0.24[σ] B.σ=0.72[σ] C.σ=0.83[σ] D.σ=1.21[σ]
答案 C
解析 根据《铁路路基支挡结构设计规范》(TB 10025—2006)第3.3.6条的规定计算如下:

相关内容:一非,重力,式挡,土墙,墙体,后主,压力,水平,分力,墙基,基底,合力,0.2m...

猜你喜欢

发表评论
更多 网友评论0 条评论)
暂无评论

访问排行

Copyright © 2012-2014 恰考网 Inc. 保留所有权利。 Powered by tikuer.com

页面耗时0.0430秒, 内存占用1.04 MB, Cache:redis,访问数据库14次