甲买了3支签字笔,7支圆珠笔和1支铅笔共花了32元,乙买了4支同样的签字笔.l0支圆珠笔和1支铅笔共花了43元,如果同样的签字笔、圆珠笔、铅笔各买一支,共...

作者: tihaiku 人气: - 评论: 0
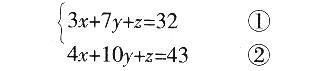
问题 甲买了3支签字笔,7支圆珠笔和1支铅笔共花了32元,乙买了4支同样的签字笔.l0支圆珠笔和1支铅笔共花了43元,如果同样的签字笔、圆珠笔、铅笔各买一支,共用多少钱?()。 A.21元 B.17元 C.11元 D.10元
选项
答案 D
解析 设签字笔、圆珠笔、铅笔的价格分别为x、y、z,得方程组:本方程组为典型的不定方程组。可以利用特解思想,令系数较大的y=0,然后求解,得到x=11、z=-1,所以x+y+z=10,本题选D

猜你喜欢

发表评论
更多 网友评论0 条评论)
暂无评论

Copyright © 2012-2014 恰考网 Inc. 保留所有权利。 Powered by tikuer.com

页面耗时0.0340秒, 内存占用1.03 MB, Cache:redis,访问数据库19次