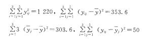
误差平方和的自由度为( )。A. 14 B. 10C. 5 D. 4

作者: rantiku 人气: - 评论: 0
问题 误差平方和的自由度为( )。 A. 14 B. 10 C. 5 D. 4
选项
答案 B
解析 。误差自由度fe =因子水平数X (每个水平下重复次数-1) =5X (3-1) =10。

猜你喜欢

发表评论
更多 网友评论0 条评论)
暂无评论

访问排行

Copyright © 2012-2014 恰考网 Inc. 保留所有权利。 Powered by tikuer.com

页面耗时0.0458秒, 内存占用1.03 MB, Cache:redis,访问数据库20次