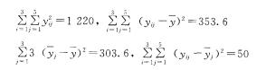
若取显著性水平α=0.05,查F分布表得临界值是3. 48,则( )。A.因子A显著B.因子A不显著C.温度对化工产品得率有显著的影响...

作者: rantiku 人气: - 评论: 0
问题 若取显著性水平α=0.05,查F分布表得临界值是3. 48,则( )。 A.因子A显著 B.因子A不显著 C.温度对化工产品得率有显著的影响 D.不同温度下的化工产品得率无显著差异
选项
答案 AC
解析

猜你喜欢

发表评论
更多 网友评论0 条评论)
暂无评论

访问排行

Copyright © 2012-2014 恰考网 Inc. 保留所有权利。 Powered by tikuer.com

页面耗时0.0383秒, 内存占用1.03 MB, Cache:redis,访问数据库20次