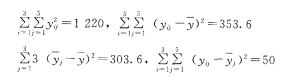
误差方差σ2的估计为( )。A. 50 B. 12. 5C. 5 D. 3. 3

作者: rantiku 人气: - 评论: 0
问题 误差方差σ2的估计为( )。 A. 50 B. 12. 5 C. 5 D. 3. 3
选项
答案 C
解析 。误差方差σ2的估计等于误差均方:MSe = Se/fe= 50/10 = 5。

猜你喜欢

发表评论
更多 网友评论0 条评论)
暂无评论

访问排行

Copyright © 2012-2014 恰考网 Inc. 保留所有权利。 Powered by tikuer.com

页面耗时0.0307秒, 内存占用1.03 MB, Cache:redis,访问数据库19次