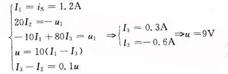
若图示电路中is = 1. 2A和g = 0.1s,则电路中的电压u应为下列哪项数值?()
A. 3A B. 6A C. 9A D. 12A
相关内容:电路,电压,数值
- 在图1. 1-21的4个耦合电感中,哪个互感电压方向的标注是完全正确的?
- 某电阻上的电压U = 10 V、I=5 A。求该电阻值、电导值、消耗的电功率和在 1分钟内消耗的电能。
- 在严重污秽地区的电网外绝缘水平,主要由()所决定。
(A)铁磁谐振过电压 (B)切断空载线路
(C)雷电放电所产生的感应过电压 (D)系统最大运行电压
- —台三相变压器的额定数据为=750kVA,U1N/U2N=10/0.4kV,连接组为Y/Yn-0。在低压侧做空载试验,测得线电压为400V,线电流为60A...
- —台三相感应电动机在额足情况下运行,当忽略空载转矩后,则电磁转矩T与额定转矩TN相等,即T=TN。在负载不变的情况下,当电源电压下降10%,稳定运行后,电...
- 在三相感应电动机的转子电路中串入电抗,则电机的启动转矩将会()。
(A)增大 (B)减小 (C)不变 (D)不确定
- —台单相变压器的额定容量SN=100kVA,额定电压U1N/U2N=3.3/0.22kV,短路电阻Rk=0.8775Ω,短路电抗Xk=6.0245Ω,则该...
- Ip=0.5,短路发生在发电机电压母线时,短路电流的最大有效值I im为()。
(A)0.81(B)0.755 (C)0.78 (D)0.5
- 已知某一电力网络及其参数如题4-29图所示,忽略电压降落的横分量,则节点③的电压U3为()。
(A)110.22kV(B)109.43kV(C)114....
- 一台三相感应电动机的额定电压UN=220V,定子三相绕组为△接法。启动时将定子绕组改为Y接法,并接在380V的交流电源上,则电机的启动电流与接在220V电...