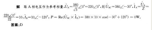
三相对称三线制电路线电压为380V,功率表接线如图所示,且各相负载Z=R=22Ω,此时功率表读数为()。A. 6600W B. 3800W C. 22...

作者: tihaiku 人气: - 评论: 0
问题 三相对称三线制电路线电压为380V,功率表接线如图所示,且各相负载Z=R=22Ω,此时功率表读数为()。
选项 A. 6600W B. 3800W C. 2200W D. OW
答案 D
解析

相关内容:制电,路线,电压,功率,接线,如图,且各,负载,读数

猜你喜欢

发表评论
更多 网友评论0 条评论)
暂无评论

访问排行

Copyright © 2012-2014 恰考网 Inc. 保留所有权利。 Powered by tikuer.com

页面耗时0.0438秒, 内存占用1.04 MB, Cache:redis,访问数据库17次