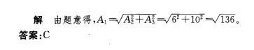
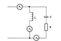
图中正弦电流电路发生谐振时,电流表A2和A3的读数分别为6A和10A,则电流表A1的读数为()。

作者: tihaiku 人气: - 评论: 0
问题 图中正弦电流电路发生谐振时,电流表A2和A3的读数分别为6A和10A,则电流表A1的读数为()。
选项
答案 C
解析

相关内容:图中,正弦,电流,电路,谐振,电流表,读数

猜你喜欢

发表评论
更多 网友评论0 条评论)
暂无评论

访问排行

Copyright © 2012-2014 恰考网 Inc. 保留所有权利。 Powered by tikuer.com

页面耗时0.0306秒, 内存占用1.05 MB, Cache:redis,访问数据库19次