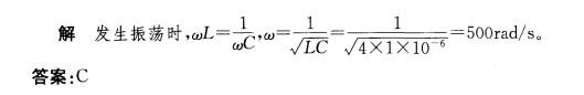
有一个由R=3000Ω,L=4H和C=1μF三个元件串联构成的振荡电路,其振荡角频率为( )。A. 331 rad/s B. 375rad/s C 5...

作者: tihaiku 人气: - 评论: 0
问题 有一个由R=3000Ω,L=4H和C=1μF三个元件串联构成的振荡电路,其振荡角频率为( )。
选项 A. 331 rad/s B. 375rad/s C 500rad/s D. 750rad/s
答案 C
解析

相关内容:三个,元件,构成,振荡,电路,375rad

猜你喜欢

发表评论
更多 网友评论0 条评论)
暂无评论

访问排行

Copyright © 2012-2014 恰考网 Inc. 保留所有权利。 Powered by tikuer.com

页面耗时0.0366秒, 内存占用1.03 MB, Cache:redis,访问数据库14次