如图所示电路中,若m=0.5V,i=1A,则is为( )。 A. -0. 25A B. 0. 125A C. -0. 125A D. 0. 25A

作者: tihaiku 人气: - 评论: 0
问题 如图所示电路中,若m=0.5V,i=1A,则is为( )。 A. -0. 25A B. 0. 125A C. -0. 125
选项 A D. 0. 25A
答案 D
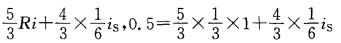
解析 解(1)左端等效电路如图a)所示。 uoc= 1V,Req=3/2R 由 Uoc= Req·i + u,且u=0. 5,i=1,得到 1 = (2)右端等效,如图b)所示。 由 KVL 定律得:u = 解得 答案:D

相关内容:如图,电路

猜你喜欢

发表评论
更多 网友评论0 条评论)
暂无评论

访问排行

Copyright © 2012-2014 恰考网 Inc. 保留所有权利。 Powered by tikuer.com

页面耗时0.0831秒, 内存占用1.04 MB, Cache:redis,访问数据库18次