如图6-2所示,已知活塞直径d=100mm,长l=100mm气缸直径D=100.4mm,其间充满黏滞系数为0.1Pa·s的油,活塞以2m/s的速度运动时,...

作者: rantiku 人气: - 评论: 0
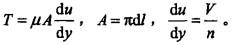
问题 如图6-2所示,已知活塞直径d=100mm,长l=100mm气缸直径D=100.4mm,其间充满黏滞系数为0.1Pa·s的油,活塞以2m/s的速度运动时,需要的拉力F为( )N。
选项 A. 31.4 B. 314 C. 62.6 D. 15.7
答案 A
解析 提示:牛顿内摩擦定律

猜你喜欢

发表评论
更多 网友评论0 条评论)
暂无评论

Copyright © 2012-2014 恰考网 Inc. 保留所有权利。 Powered by tikuer.com

页面耗时0.0383秒, 内存占用1.03 MB, Cache:redis,访问数据库19次