A. (1,2) B. (1,0.5) C. (2,0.5) D. (2,1)

作者: tihaiku 人气: - 评论: 0
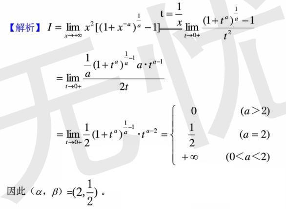
问题
选项 A. (1,2) B. (1,0.5) C. (2,0.5) D. (2,1)
答案 C
解析

相关内容:

猜你喜欢

发表评论
更多 网友评论0 条评论)
暂无评论

访问排行

Copyright © 2012-2014 恰考网 Inc. 保留所有权利。 Powered by tikuer.com

页面耗时0.0678秒, 内存占用1.05 MB, Cache:redis,访问数据库20次