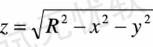
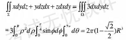
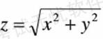
设Ω是由锥面与半球面Σ是Ω的整个边界的外侧,则

作者: tihaiku 人气: - 评论: 0
问题 设Ω是由锥面与半球面Σ是Ω的整个边界的外侧,则
选项
答案 C
解析 本题Σ是封闭曲面且取外侧,自然想到用高斯公式转化为三重积分,再用球面(或柱面)坐标进行计算即可

猜你喜欢

发表评论
更多 网友评论0 条评论)
暂无评论

访问排行

Copyright © 2012-2014 恰考网 Inc. 保留所有权利。 Powered by tikuer.com

页面耗时0.0415秒, 内存占用1.03 MB, Cache:redis,访问数据库20次