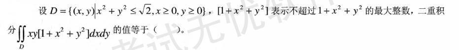
A. 7/8 B. 2/3 C. 5/8 D. 3/8

作者: tihaiku 人气: - 评论: 0
问题
选项 A. 7/8 B. 2/3 C. 5/8 D. 3/8
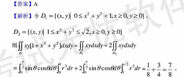
答案 A
解析

相关内容:

猜你喜欢

发表评论
更多 网友评论0 条评论)
暂无评论

访问排行

Copyright © 2012-2014 恰考网 Inc. 保留所有权利。 Powered by tikuer.com

页面耗时0.0374秒, 内存占用1.05 MB, Cache:redis,访问数据库19次