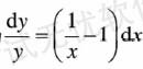
微分方程 的通解是()。A. y=Cxex B. y=Cxe-x C. y=Cxe-2x D. y=Ce-x

作者: tihaiku 人气: - 评论: 0
问题 微分方程 的通解是()。
选项 A. y=Cxex B. y=Cxe-x C. y=Cxe-2x D. y=Ce-x
答案 B
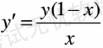
解析 原方程等价为两边积分得lny=lnx-x+C1,整理得:y=Cxe-x,(C=eC1)

猜你喜欢

发表评论
更多 网友评论0 条评论)
暂无评论

访问排行

Copyright © 2012-2014 恰考网 Inc. 保留所有权利。 Powered by tikuer.com

页面耗时0.0321秒, 内存占用1.01 MB, Cache:redis,访问数据库14次