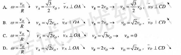
图示半径为R的圆柱体在固定水平面上做纯滚动,圆心O的速度为,圆柱体角速度ω及A、B、D的速度为()。

作者: tihaiku 人气: - 评论: 0
问题 图示半径为R的圆柱体在固定水平面上做纯滚动,圆心O的速度为,圆柱体角速度ω及
选项 A、B、D的速度为()。
答案 B
解析 圆柱体作纯滚动,则与水平而的接触点为速度瞬心,则圆轮中心速度与圆轮角速度之间满足vo=rω,方向相同,因此,角速度ω=vo/r,A的速度为点O的平动速度(水平向右)和绕O点的转动速度(竖直向下)的矢量和,因此,A点速度为方向垂直于CA斜向下;B、D两点可由速度瞬心法求得

相关内容:半径,圆柱体,水平,面上,做纯,圆心,速度,角速度

猜你喜欢

发表评论
更多 网友评论0 条评论)
暂无评论

访问排行

Copyright © 2012-2014 恰考网 Inc. 保留所有权利。 Powered by tikuer.com

页面耗时0.0343秒, 内存占用1.04 MB, Cache:redis,访问数据库19次