各重为P的两物块A和B用绳连接并将此绳缠绕在均质滑轮O上,如图所示,如滑轮半径为R,重为Q,角速度为ω,则系统对O轮的动量矩为()。

作者: tihaiku 人气: - 评论: 0
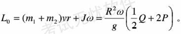
问题 各重为P的两物块A和B用绳连接并将此绳缠绕在均质滑轮O上,如图所示,如滑轮半径为R,重为Q,角速度为ω,则系统对O轮的动量矩为()。
选项
答案 C
解析 系统对O轮的动量矩为物体A、B以及滑轮对O的动量矩的矢量和,因三个动量矩均为逆时针方向,因此,

相关内容:各重,两物块,用绳,滑轮,如图,半径,重为,角速度,系统,动量矩

猜你喜欢

发表评论
更多 网友评论0 条评论)
暂无评论

访问排行

Copyright © 2012-2014 恰考网 Inc. 保留所有权利。 Powered by tikuer.com

页面耗时0.0448秒, 内存占用1.04 MB, Cache:redis,访问数据库17次