如图所示,单摆由无重刚杆OA和质量为m的小球A构成,小球上连有两个刚度为k的水平弹簧,则摆微振动的固有频率为()。 A. (k/m)1/2 B. (2...

作者: tihaiku 人气: - 评论: 0
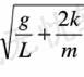
问题 如图所示,单摆由无重刚杆OA和质量为m的小球A构成,小球上连有两个刚度为k的水平弹簧,则摆微振动的固有频率为()。
选项 A. (k/m)1/2 B. (2k/m)1/2 C. (g/L+2k/m)1/2 D. (g/L+k/m)1/2
答案 C
解析 两弹簧并联,弹簧常数为2k,列出摆绕O点定轴转动的微分方程,即ml(ψ)″=-mgψ-2klψ,整理得:,则摆微振动的固有频率为

相关内容:如图,单摆,刚杆,质量,小球,构成,两个,刚度,水平,弹簧,摆微,振动

猜你喜欢

发表评论
更多 网友评论0 条评论)
暂无评论

访问排行

Copyright © 2012-2014 恰考网 Inc. 保留所有权利。 Powered by tikuer.com

页面耗时0.0349秒, 内存占用1.03 MB, Cache:redis,访问数据库15次