工业管道的沿程损失系数λ,在紊流过渡区随雷诺数的增加而()。A.增大 B.减小 C.不变 D.不定

作者: tihaiku 人气: - 评论: 0
问题 工业管道的沿程损失系数λ,在紊流过渡区随雷诺数的增加而()。
选项 A.增大 B.减小 C.不变 D.不定
答案 B
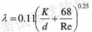
解析 由紊流过渡区沿程损失系数公式:可知,当雷诺数增大时,沿程损失系数减小。

相关内容:工业,管道,沿程,损失,系数,过渡区,雷诺数

猜你喜欢

发表评论
更多 网友评论0 条评论)
暂无评论

访问排行

Copyright © 2012-2014 恰考网 Inc. 保留所有权利。 Powered by tikuer.com

页面耗时0.0414秒, 内存占用1.04 MB, Cache:redis,访问数据库18次