容量为10kVA的单相照明变压器,电压为3300/220V,副边全部接上60W、220V的白炽灯,若使变压器在额定情况下运行,原边电流值最接近于()A。A...

作者: tihaiku 人气: - 评论: 0
问题 容量为10kVA的单相照明变压器,电压为3300/220V,副边全部接上60W、220V的白炽灯,若使变压器在额定情况下运行,原边电流值最接近于()A。
选项 A. 1.67 B. 3.03 C. 4.09 D. 4.52
答案 B
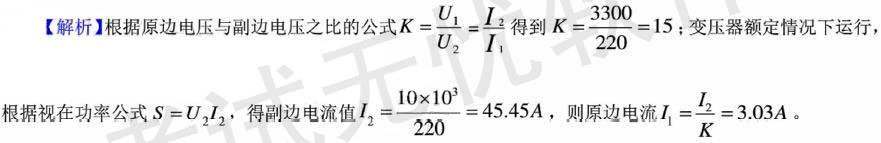
解析

相关内容:容量,照明,变压器,电压,副边,白炽灯,运行,原边,电流,值最

猜你喜欢

发表评论
更多 网友评论0 条评论)
暂无评论

访问排行

Copyright © 2012-2014 恰考网 Inc. 保留所有权利。 Powered by tikuer.com

页面耗时0.0752秒, 内存占用1.05 MB, Cache:redis,访问数据库19次