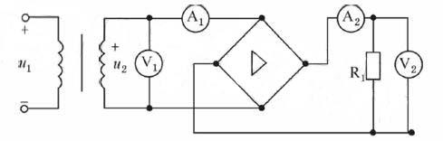
电路如图所示,二极管为理想元件,已知R1=90Ω(设电流表的内阻视为零,电压表的内阻视为无穷大)。交流电压表(V1),直流电流表(A2)和直流电压表(V2...

作者: tihaiku 人气: - 评论: 0
问题 电路如图所示,二极管为理想元件,已知R1=90Ω(设电流表的内阻视为零,电压表的内阻视为无穷大)。交流电压表(V1),直流电流表(A2)和直流电压表(V2)的读数分别是()
选项 A. 100V, 1A,45V B. 100V, 1A,90V C. 100V, 1.1A,100V D. 141V, 1A,90V
答案 B
解析 电压表显示电压值为平均值,,本题为全波整流电路:输出电压平均值U0=0.9U2=90V,则输出电流平均值I0=U0/RL=0.9U2/RL=1A。

相关内容:电路,如图,二极管,理想,元件,电流表,内阻,电压表,无穷大,交流

猜你喜欢

发表评论
更多 网友评论0 条评论)
暂无评论

访问排行

Copyright © 2012-2014 恰考网 Inc. 保留所有权利。 Powered by tikuer.com

页面耗时0.0481秒, 内存占用1.05 MB, Cache:redis,访问数据库20次