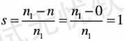
三相异步电动机启动瞬间,其转差率为( )。A. S=0
B. S=0.07
C. S=1
D. S>1
相关内容:异步电动机,瞬间
- 某三相异步电动机的额定转速为1460r/min,当负载转矩为额定转矩的一半时,电动机的转速为()。A. n=1500r/min
B. n=730r/mi...
- 三相异步电动机启动瞬间,其转差率为( )。A. S=0
B. S=0.07
C. S=1
D. S>1
- 图所示电路中,已知Us=10V,R1=3kΩ,R2=20kΩ,R3=1kΩ,L=1H,电路原已稳定,在开关S断开的瞬间,电阻R2上的电压u(0+)最接近于...
- 某生产车间有一台抽风机,生产要求能自启动,抽风机配套的交流异步电动机参数 为:额定电压6000V,额定功率850kW,额定电流97A,启动电流为额定电流的...
- 某生产车间有一台抽风机,生产要求能自启动,抽风机配套的交流异步电动机参数 为:额定电压6000V,额定功率850kW,额定电流97A,启动电流为额定电流的...
- 某水泵配套的异步电动机安装在经常有人值班的机房内,需自启动运行,生产过程 中没有过负荷的可能性。电动机额定电压为交流6000V、额定容量为460kW、额定...
- 某机械设备配用一台绕线型异步电动机,其额定功率90kW,额定转速589r/min, 转子额定电压330V,转子额定电流166. 6A。电动机的最大转矩标幺...
- 某机械设备配用一台绕线型异步电动机,其额定功率90kW,额定转速589r/min, 转子额定电压330V,转子额定电流166. 6A。电动机的最大转矩标幺...
- 某机械设备配用一台绕线型异步电动机,其额定功率90kW,额定转速589r/min, 转子额定电压330V,转子额定电流166. 6A。电动机的最大转矩标幺...
- 某机械设备配用一台绕线型异步电动机,其额定功率90kW,额定转速589r/min, 转子额定电压330V,转子额定电流166. 6A。电动机的最大转矩标幺...