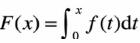
设f(x)是奇函数,除x=0外处处连续,x=0是其第一类间断点,则是()。A.连续的奇函数 B.连续的偶函数 C.在x=0间断的奇函数 D.在x=0...

作者: tihaiku 人气: - 评论: 0
问题 设f(x)是奇函数,除x=0外处处连续,x=0是其第一类间断点,则是()。
选项 A.连续的奇函数 B.连续的偶函数 C.在x=0间断的奇函数 D.在x=0间断的偶函数
答案 B
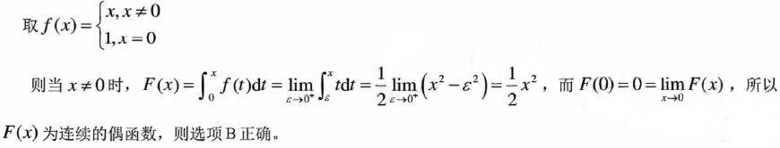
解析 由于题设条件含有抽象函数,本题最简便的方法是用赋值法求解,即取符合题设条件的特殊函数f(x)去计算,然后选择正确选项.

猜你喜欢

发表评论
更多 网友评论0 条评论)
暂无评论

访问排行

Copyright © 2012-2014 恰考网 Inc. 保留所有权利。 Powered by tikuer.com

页面耗时0.0648秒, 内存占用1.03 MB, Cache:redis,访问数据库16次