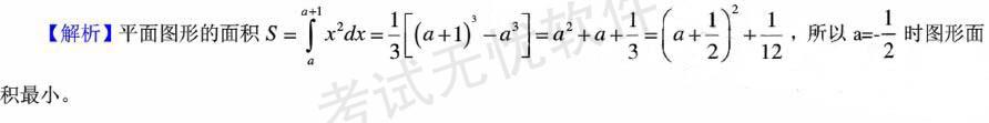
由抛物线y=x2与三直线x=a,x=a+l,y=0所围成的平面图形,a为下列()值时图形的面积最小。A. a=1 B. a=-1/2 C. a=0 ...

作者: tihaiku 人气: - 评论: 0
问题 由抛物线y=x2与三直线x=a,x=a+l,y=0所围成的平面图形,a为下列()值时图形的面积最小。
选项 A. a=1 B. a=-1/2 C. a=0 D. a=2
答案 B
解析

相关内容:抛物线,直线,平面,图形,值时,面积

猜你喜欢

发表评论
更多 网友评论0 条评论)
暂无评论

访问排行

Copyright © 2012-2014 恰考网 Inc. 保留所有权利。 Powered by tikuer.com

页面耗时0.0391秒, 内存占用1.04 MB, Cache:redis,访问数据库20次