微分方程xy'+2y=xlnx满足y(1)=-1/9的解为()。

作者: tihaiku 人气: - 评论: 0
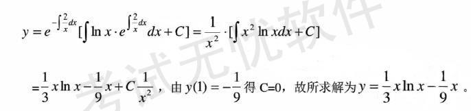
问题 微分方程xy'+2y=xlnx满足y(1)=-1/9的解为()。
选项
答案 B
解析 直接套用一阶线性微分方程y'+P(x)y=Q(x)的通解公式: 再由初始条件确定任意常数即可,原方程等价为y'+(2/x)y=lnx,于是通解为

相关内容:

猜你喜欢

发表评论
更多 网友评论0 条评论)
暂无评论

访问排行

Copyright © 2012-2014 恰考网 Inc. 保留所有权利。 Powered by tikuer.com

页面耗时0.0600秒, 内存占用1.04 MB, Cache:redis,访问数据库18次