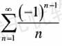
级数的收敛性是()。A.绝对收敛 B.条件收敛 C.等比级数收敛 D.发散

作者: tihaiku 人气: - 评论: 0
问题 级数的收敛性是()。
选项 A.绝对收敛 B.条件收敛 C.等比级数收敛 D.发散
答案 B
解析 且当n趋于无穷大时,1/n趋于0,由莱布尼茨判别法,an收敛;而an的绝对值为调和级数,发散,故为条件收敛。

相关内容:级数,收敛,条件,等比级数

猜你喜欢

发表评论
更多 网友评论0 条评论)
暂无评论

访问排行

Copyright © 2012-2014 恰考网 Inc. 保留所有权利。 Powered by tikuer.com

页面耗时0.0406秒, 内存占用1.05 MB, Cache:redis,访问数据库20次