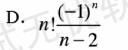
设f(x)=x2ln(1+x),则f(n)(0)(n≥3)=()。

作者: tihaiku 人气: - 评论: 0
问题 设f(x)=x2ln(1+x),则f(n)(0)(n≥3)=()。
选项
答案 A
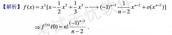
解析

相关内容:

猜你喜欢

发表评论
更多 网友评论0 条评论)
暂无评论

访问排行

Copyright © 2012-2014 恰考网 Inc. 保留所有权利。 Powered by tikuer.com

页面耗时0.0463秒, 内存占用1.04 MB, Cache:redis,访问数据库18次