已知甲、乙两箱中装有同种产品,其中甲箱中装有3件合格品和3件次品,乙箱中仅装有3件合格品.从甲箱中任取3件产品放入乙箱后,乙箱中次品件数的数学期望和从乙箱...

作者: tihaiku 人气: - 评论: 0
问题 已知甲、乙两箱中装有同种产品,其中甲箱中装有3件合格品和3件次品,乙箱中仅装有3件合格品.从甲箱中任取3件产品放入乙箱后,乙箱中次品件数的数学期望和从乙箱中任取一件产品是次品的概率分别为()
选项 A. 2/3,1/4 B. 2/5,1/4 C. 2/3,1/3 D. 1/3,1/4
答案 A
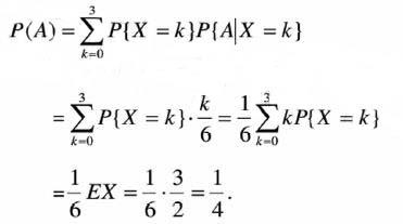
解析 乙箱中可能的次品件数为0,1,2,3,分别求出其概率,再按定义求数学期望即可;而求从乙箱中任取一件产品是次品的概率,涉及到两次试验,是典型的用全概率公式的情形,第一次试验的各种可能结果(取到的次品数)就是要找的完备事件组. ①X的可能取值为0,1,2,3,X的概率分布为 ②设A表示事件“从乙箱中任取一件产品是次品”,由于{X=0},{X=1},{X=2},{X=3}构成完备事件组,因此根据全概率公式,有

相关内容:两箱,产品,甲箱,合格品,次品,乙箱,中仅,放入,件数,数学,期望

猜你喜欢

发表评论
更多 网友评论0 条评论)
暂无评论

访问排行

Copyright © 2012-2014 恰考网 Inc. 保留所有权利。 Powered by tikuer.com

页面耗时0.0394秒, 内存占用1.04 MB, Cache:redis,访问数据库17次