如图所示,两列平面余弦波分别沿S1P和S2P传播,波速均为10cm/s。t时刻,在波源S1和S2处质点的振动方程分别为y1=3cos10t(cm),y2=...

作者: tihaiku 人气: - 评论: 0
问题 如图所示,两列平面余弦波分别沿S1P和S2P传播,波速均为10cm/s。t时刻,在波源S1和S2处质点的振动方程分别为y1=3cos10t(cm),y2=4cos10t(cm),振动方向均垂直纸面。那么,P处质点振动的振幅为()
选项 A. 1 B. 5 C. 7 D. 9
答案 A
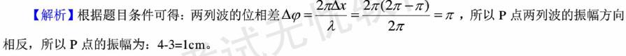
解析

相关内容:如图,两列,平面,余弦,传播,波速,时刻,波源,质点,振动,方程,3cos10t

猜你喜欢

发表评论
更多 网友评论0 条评论)
暂无评论

访问排行

Copyright © 2012-2014 恰考网 Inc. 保留所有权利。 Powered by tikuer.com

页面耗时0.0576秒, 内存占用1.03 MB, Cache:redis,访问数据库13次