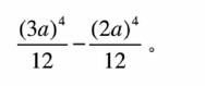
图示L形截面对Z轴的惯性矩为()。

作者: tihaiku 人气: - 评论: 0
问题 图示L形截面对Z轴的惯性矩为()。
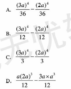
选项
答案 B
解析 图中L形截面可看作由边长为3a的正方形裁去边长为2a的正方形形成,由于Z轴通过两个正方形的形心,所以两个正方形对Z轴的惯性矩分别为(3a)4/3和(2a)4/3,叠加可得图示L形截面对Z轴的惯性矩为

猜你喜欢

发表评论
更多 网友评论0 条评论)
暂无评论

访问排行

Copyright © 2012-2014 恰考网 Inc. 保留所有权利。 Powered by tikuer.com

页面耗时0.0464秒, 内存占用1.03 MB, Cache:redis,访问数据库20次